Dilier Olivera Viciedo

Associate Professor at O'Higgins University

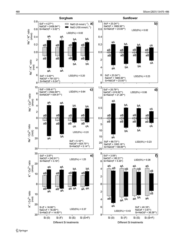
Silicon Alleviates Sodium Toxicity in Sorghum and Sunflower Plants by Enhancing Ionic Homeostasis in Roots and Shoots and Increasing Dry Matter Accumulation


Journal article


A. C. Hurtado, D. A. Chiconato, Renato de Mello Prado, Gilmar da Silveira Sousa Junior, Dilier Olivera Viciedo, Yanery Pérez Díaz, K. Calzada, P. Gratão
Silicon, vol. 13, 2021, pp. 475–486


View PDF Semantic Scholar DOI
Cite

Cite

APA   Click to copy
Hurtado, A. C., Chiconato, D. A., de Mello Prado, R., da Silveira Sousa Junior, G., Viciedo, D. O., Díaz, Y. P., … Gratão, P. (2021). Silicon Alleviates Sodium Toxicity in Sorghum and Sunflower Plants by Enhancing Ionic Homeostasis in Roots and Shoots and Increasing Dry Matter Accumulation. Silicon, 13, 475–486. https://doi.org/10.1007/s12633-020-00449-7


Chicago/Turabian   Click to copy
Hurtado, A. C., D. A. Chiconato, Renato de Mello Prado, Gilmar da Silveira Sousa Junior, Dilier Olivera Viciedo, Yanery Pérez Díaz, K. Calzada, and P. Gratão. “Silicon Alleviates Sodium Toxicity in Sorghum and Sunflower Plants by Enhancing Ionic Homeostasis in Roots and Shoots and Increasing Dry Matter Accumulation.” Silicon 13 (2021): 475–486.


MLA   Click to copy
Hurtado, A. C., et al. “Silicon Alleviates Sodium Toxicity in Sorghum and Sunflower Plants by Enhancing Ionic Homeostasis in Roots and Shoots and Increasing Dry Matter Accumulation.” Silicon, vol. 13, 2021, pp. 475–86, doi:10.1007/s12633-020-00449-7.


BibTeX   Click to copy

@article{a2021a,
  title = {Silicon Alleviates Sodium Toxicity in Sorghum and Sunflower Plants by Enhancing Ionic Homeostasis in Roots and Shoots and Increasing Dry Matter Accumulation},
  year = {2021},
  journal = {Silicon},
  pages = {475–486},
  volume = {13},
  doi = {10.1007/s12633-020-00449-7},
  author = {Hurtado, A. C. and Chiconato, D. A. and de Mello Prado, Renato and da Silveira Sousa Junior, Gilmar and Viciedo, Dilier Olivera and Díaz, Yanery Pérez and Calzada, K. and Gratão, P.}
}